摘要中国科学院金属研究所沈阳材料科学国家研究中心材料人工智能部提出了新的自旋劈裂矩机制(Spin Splitting Torque, SST)与费米面几何结构之间的定量关系。
自旋电子学器件的核心在于利用自旋流传递角动量从而实现低能耗、高速的存储和逻辑信号调控,在信息技术、量子计算和低功耗电子学中具有重要应用。自旋电子学器件通常由电流与电场来操控,电流转换为自旋流的转化效率(CSE, Charge-to-Spin Efficiency)是衡量自旋电子学器件性能的关键指标。当前,调控自旋电子学器件的自旋流主要有两种机制:通过自旋转移力矩机制(Spin Transfer Torque, STT)实现自旋调控易受到自旋散射的限制,其纵向电输运信号使得磁隧道结器件存在无法分离读与写通道的问题;自旋轨道力矩机制(Spin-orbital Torque, SOT)虽可实现横向电输运,却存在电子自旋自由程低的瓶颈,导致自旋流在传输过程中迅速衰减,限制了自旋角动量的注入效率。因此,在自旋电子学器件中亟待实现既具备高CSE转化效率和长的自旋自由程“双重”特性,从而解决器件的低功耗化、微型化和非易失化这一科学挑战。
不同于以上两种自旋转移力矩和自旋轨道力矩机制,中国科学院金属研究所沈阳材料科学国家研究中心材料人工智能部提出了新的自旋劈裂矩机制(Spin Splitting Torque, SST)与费米面几何结构之间的定量关系。通过构建费米面各向异性有效理论模型,阐明费米面几何结构与CSE转化效率对应关系(图1),发现平坦费米面几何结构会实现CES转化效率的量子极限(100%)。在传统反铁磁体系中,不会产生自旋流。而在交变磁体中,自旋劈裂源于磁有序而非自旋轨道耦合效应,其具备长自旋自由程的特性;当体系的自旋各向异性劈裂增加,引起时间反演反对称(T-odd)的自旋流,会导致有限的CSE转化效率;当平坦费米面几何结构出现时d波的自旋各向异性则可达到T-odd类型的CSE转化效率的量子极限。
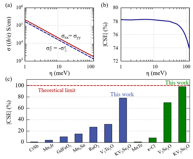
研究团队对室温d波交变磁体KV2O2Se材料进行了理论计算(图2),表明KV2O2Se在kz方向上出现平坦费米面(几乎不存在色散),并且两组相互垂直的费米面被相反的自旋量子态占据,这与理论建模所揭示的特性非常相近,表明该体系可存在异常大的CSE转化效率。基于团队自主开发的量子响应计算程序,进一步计算了KV2O2Se的自旋电导率和CSE转化效率,表明KV2O2Se中可实现沿[110]和[100]方向的横向和纵向的自旋流。在电荷中性点CSE转化效率可达78%,微弱电子掺杂后CSE更可达到98%。进一步模拟了温度和材料缺陷的影响,表明KV2O2Se中的CSE转化效率具有很强的鲁棒性。
KV2O2Se的结果与已知的其他材料进行了对比分析(图3)。KV2O2Se在电荷中性点的CSE显著高于其他交错磁体,是备受关注的RuO2的两倍,刷新了目前T-odd类 CSE转化效率的记录。KV2O2Se的自旋电导率可同时在横向和纵向上达到3.2×104 (ħ/2e) (S/cm),流密度领先于绝大多数目前已有报道的本征磁性材料。该工作提出了通过“费米面几何工程”实现材料自旋性能调控可达量子极限的原创思路,并建议了有效的候选材料。
该项研究近期以“d-Wave Flat Fermi Surface in Altermagnets Enables Maximum Charge-to-Spin Conversion”为题近日发表于《物理评论快报》(Physical Review Letters, 135, 256702 (2025))。中国科学院金属研究所的特别研究助理赖俊文为第一作者,陈星秋研究员、孙岩研究员以及中国科学院微电子研究所的邢国忠研究员为共同通讯作者。该研究得到了国家自然科学基金委基础科学中心项目和国家重点研发计划等资助。
图1 各向异性交错磁体模型的与不同费米面下的电荷-自旋转化效率
图2 KV2Se2O的电子结构和自旋电导率的理论计算结果
图3 KV2Se2O的自旋电导率和电荷-自旋转化率和现有其他研究的对比
